Официальное опубликование правовых актов
ОФИЦИАЛЬНОЕ ОПУБЛИКОВАНИЕ
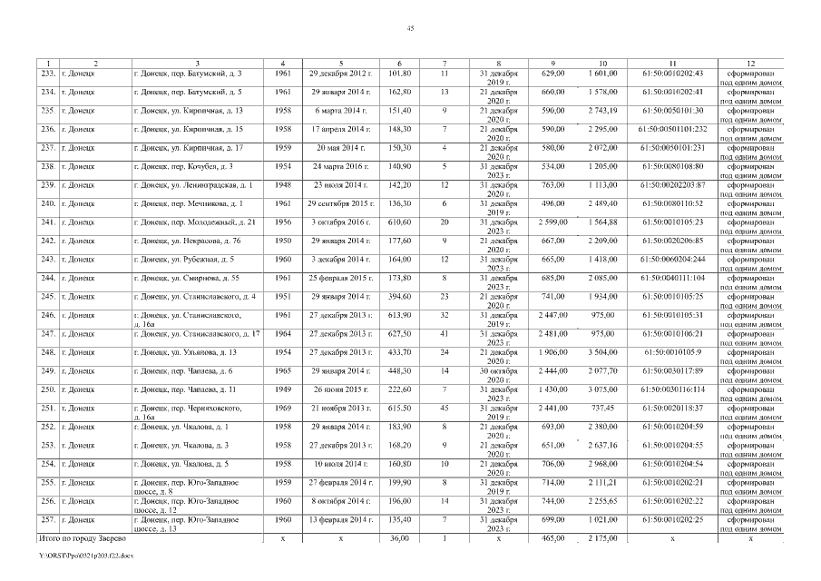
Постановление Правительства Ростовской области от 21.03.2022 № 203
"О внесении изменения в постановление Правительства Ростовской области от 12.08.2016 № 569"
Номер опубликования: 6100202203230017
Дата опубликования: 23.03.2022
Страница №45 из 74:
Увеличить