Официальное опубликование правовых актов
ОФИЦИАЛЬНОЕ ОПУБЛИКОВАНИЕ
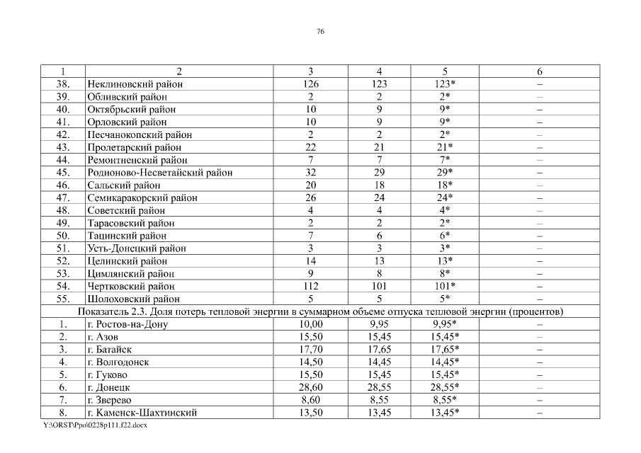
Постановление Правительства Ростовской области от 28.02.2022 № 111
"Об утверждении отчета о реализации государственной программы Ростовской области "Обеспечение качественными жилищно-коммунальными услугами населения Ростовской области" за 2021 год"
Номер опубликования: 6100202203020029
Дата опубликования: 02.03.2022
Страница №76 из 81:
Увеличить