Официальное опубликование правовых актов
ОФИЦИАЛЬНОЕ ОПУБЛИКОВАНИЕ
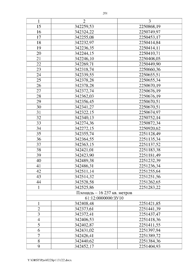
Постановление Правительства Ростовской области от 28.02.2022 № 113
"Об утверждении проекта планировки и проекта межевания территории размещения линейного объекта "Газопровод межпоселковый от х. Кугейский Егорлыкского района к х. Заречный, х. Косенко, с. Октябрьское, с. Ленинка, с. Новоивановка, х. Бакинский, х. Новая Поляна, п. Нижнекугоейский, п. Займище Зерноградского района Ростовской области"
Номер опубликования: 6100202203020028
Дата опубликования: 02.03.2022
Страница №201 из 262:
Увеличить