Официальное опубликование правовых актов
ОФИЦИАЛЬНОЕ ОПУБЛИКОВАНИЕ
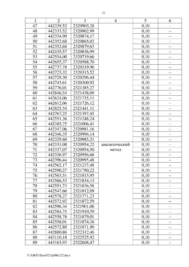
Постановление Правительства Ростовской области от 21.02.2022 № 86
"Об установлении публичного сервитута"
Номер опубликования: 6100202202240021
Дата опубликования: 24.02.2022
Страница №37 из 47:
Увеличить