Официальное опубликование правовых актов
ОФИЦИАЛЬНОЕ ОПУБЛИКОВАНИЕ
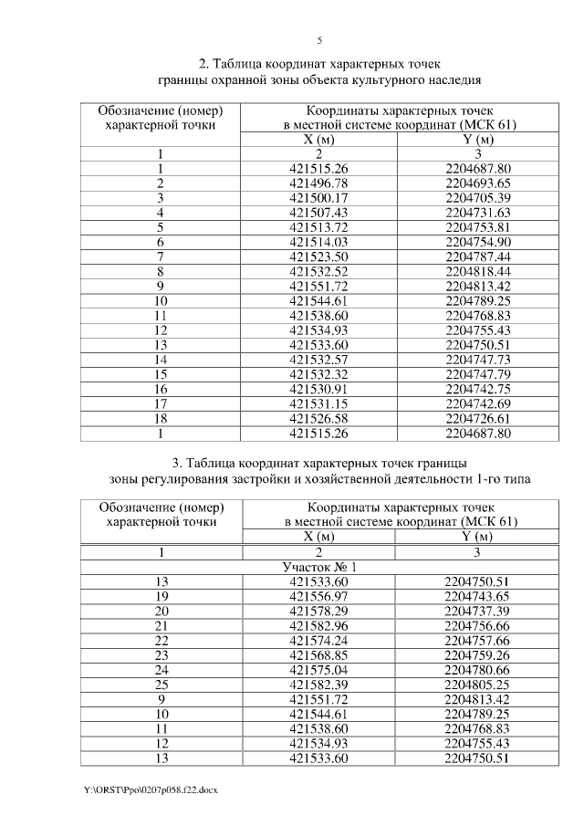
Постановление Правительства Ростовской области от 07.02.2022 № 58
"Об установлении зон охраны объекта культурного наследия регионального значения "Доходный дом И.Д. Кукса" и утверждении требований к градостроительным регламентам в границах территорий данных зон"
Номер опубликования: 6100202202080005
Дата опубликования: 08.02.2022
Страница №5 из 12:
Увеличить