Официальное опубликование правовых актов
ОФИЦИАЛЬНОЕ ОПУБЛИКОВАНИЕ
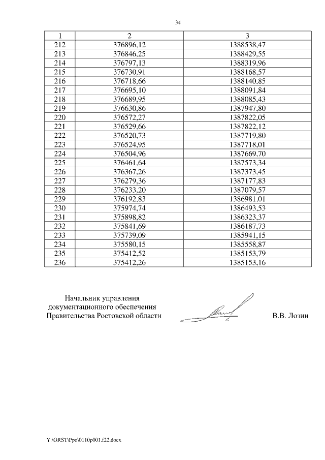
Постановление Правительства Ростовской области от 10.01.2022 № 1
"Об утверждении проекта планировки и проекта межевания территории размещения линейного объекта "Реконструкция автомобильной дороги общего пользования регионального значения г. Азов – с. Александровка – ст. Староминская (до границы Краснодарского края) на участке км 41 + 500 – км 51 + 500 в Азовском районе"
Номер опубликования: 6100202201120008
Дата опубликования: 12.01.2022
Страница №34 из 99:
Увеличить