Официальное опубликование правовых актов
ОФИЦИАЛЬНОЕ ОПУБЛИКОВАНИЕ
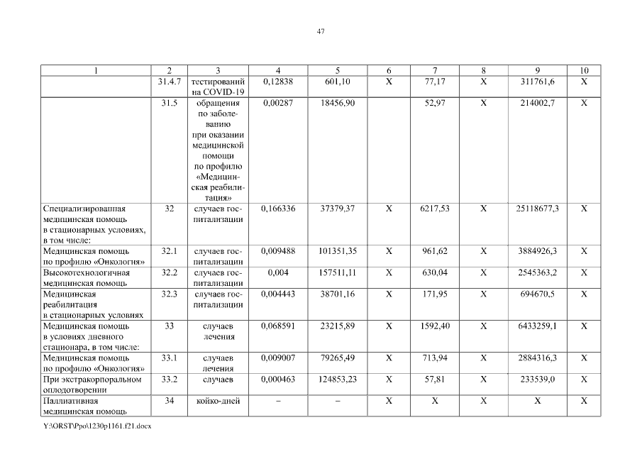
Постановление Правительства Ростовской области от 30.12.2021 № 1161
"О Территориальной программе государственных гарантий бесплатного оказания гражданам медицинской помощи в Ростовской области на 2022 год и плановый период 2023 и 2024 годов"
Номер опубликования: 6100202201040009
Дата опубликования: 04.01.2022
Страница №47 из 248:
Увеличить