Официальное опубликование правовых актов
ОФИЦИАЛЬНОЕ ОПУБЛИКОВАНИЕ
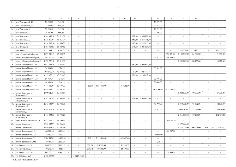
Постановление Правительства Ростовской области от 30.12.2021 № 1148
"Об утверждении краткосрочного плана реализации Региональной программы по проведению капитального ремонта общего имущества в многоквартирных домах на территории Ростовской области на 2014 ‒ 2049 годы на 2022 год и плановый период 2023 и 2024 годов"
Номер опубликования: 6100202201040007
Дата опубликования: 04.01.2022
Страница №292 из 323:
Увеличить