Официальное опубликование правовых актов
ОФИЦИАЛЬНОЕ ОПУБЛИКОВАНИЕ
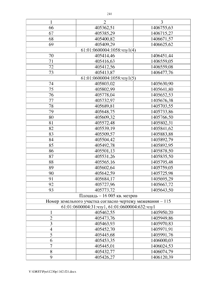
Постановление Правительства Ростовской области от 30.12.2021 № 1162
"Об утверждении проекта планировки и проекта межевания территории размещения линейного объекта "Строительство подъезда от автомобильной дороги г. Азов – с. Александровка – ст. Староминская (до границы Краснодарского края) к морскому порту Азов"
Номер опубликования: 6100202201040006
Дата опубликования: 04.01.2022
Страница №241 из 295:
Увеличить