Официальное опубликование правовых актов
ОФИЦИАЛЬНОЕ ОПУБЛИКОВАНИЕ
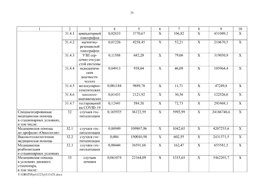
Постановление Правительства Ростовской области от 27.12.2021 № 1113
"О внесении изменений в постановление Правительства Ростовской области от 21.12.2020 № 370"
Номер опубликования: 6100202112290010
Дата опубликования: 29.12.2021
Страница №25 из 73:
Увеличить