Официальное опубликование правовых актов
ОФИЦИАЛЬНОЕ ОПУБЛИКОВАНИЕ
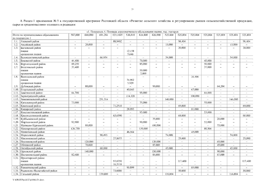
Постановление Правительства Ростовской области от 23.12.2021 № 1086
"О внесении изменений в постановление Правительства Ростовской области от 17.10.2018 № 652"
Номер опубликования: 6100202112270006
Дата опубликования: 27.12.2021
Страница №21 из 33:
Увеличить