Официальное опубликование правовых актов
ОФИЦИАЛЬНОЕ ОПУБЛИКОВАНИЕ
Постановление Правительства Ростовской области от 13.12.2021 № 1040
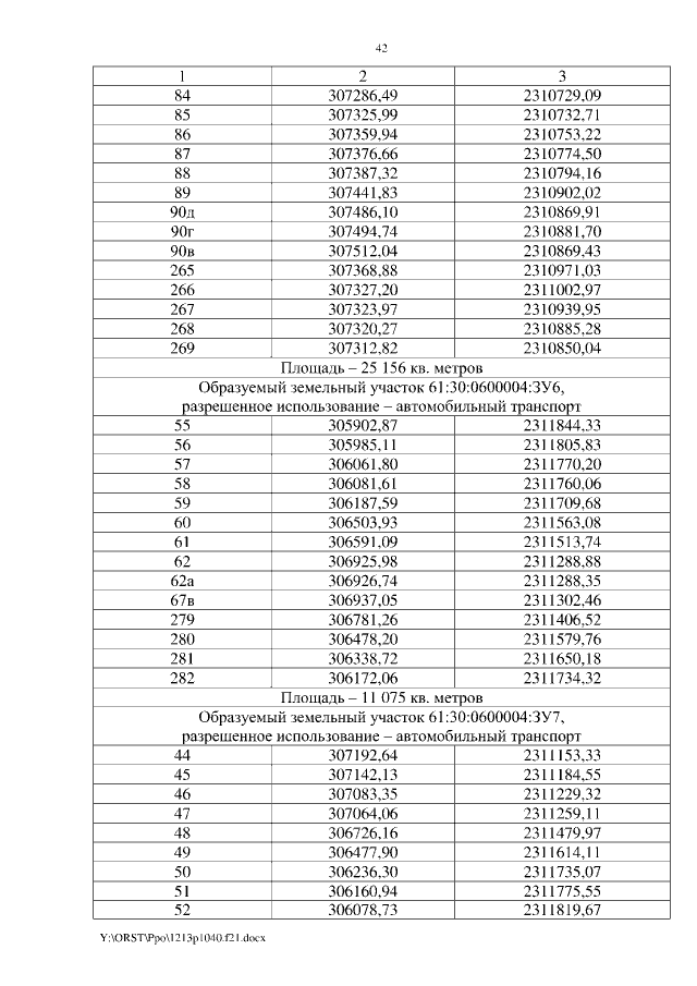
"Об утверждении проекта изменений в проект планировки и проект межевания территории размещения автомобильной дороги общего пользования регионального значения г. Ростов-на-Дону (от магистрали "Дон") – г. Ставрополь (до границы Ставропольского края) на участке км 147 + 000 – км 152 + 025 в Песчанокопском районе"
Номер опубликования: 6100202112150009
Дата опубликования: 15.12.2021
Страница №42 из 47:
Увеличить