Официальное опубликование правовых актов
ОФИЦИАЛЬНОЕ ОПУБЛИКОВАНИЕ
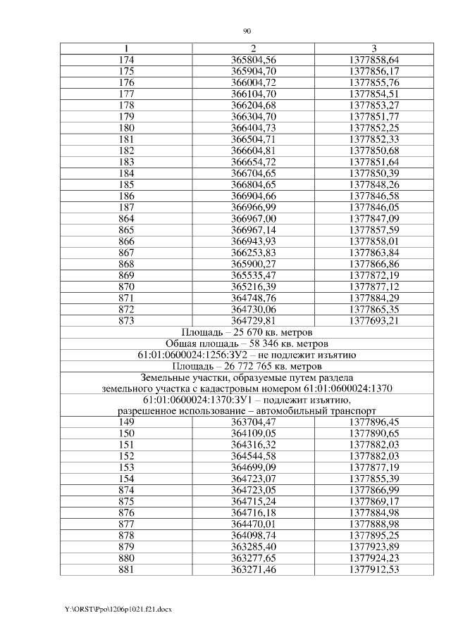
Постановление Правительства Ростовской области от 06.12.2021 № 1021
"Об утверждении проекта изменений в проект планировки и проект межевания территории размещения автомобильной дороги общего пользования регионального значения г. Азов – с. Александровка – ст. Староминская (до границы Краснодарского края) на участке км 57 + 000 – 71 + 000 в Азовском районе"
Номер опубликования: 6100202112080016
Дата опубликования: 08.12.2021
Страница №90 из 96:
Увеличить