Официальное опубликование правовых актов
ОФИЦИАЛЬНОЕ ОПУБЛИКОВАНИЕ
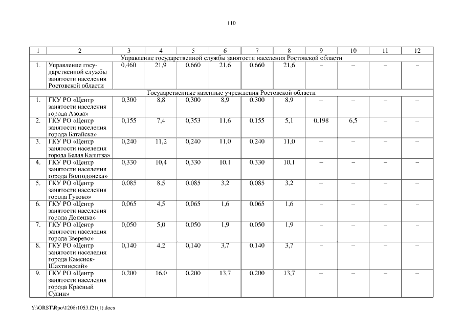
Распоряжение Правительства Ростовской области от 06.12.2021 № 1053
"О прогнозных объемах финансирования и лимитах потребления на услуги по водоснабжению, водоотведению и вывозу жидких бытовых отходов на 2022 год и плановый период 2023 и 2024 годов"
Номер опубликования: 6100202112080012
Дата опубликования: 08.12.2021
Страница №110 из 460:
Увеличить