Официальное опубликование правовых актов
ОФИЦИАЛЬНОЕ ОПУБЛИКОВАНИЕ
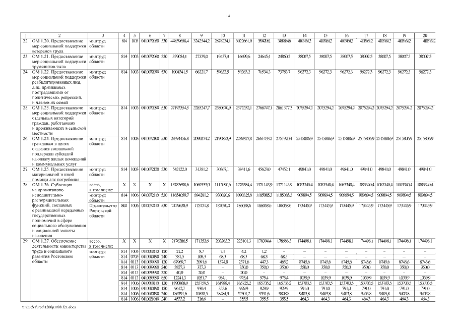
Постановление Правительства Ростовской области от 06.12.2021 № 1008
"О внесении изменений в постановление Правительства Ростовской области от 17.10.2018 № 643"
Номер опубликования: 6100202112080001
Дата опубликования: 08.12.2021
Страница №14 из 29:
Увеличить