Официальное опубликование правовых актов
ОФИЦИАЛЬНОЕ ОПУБЛИКОВАНИЕ
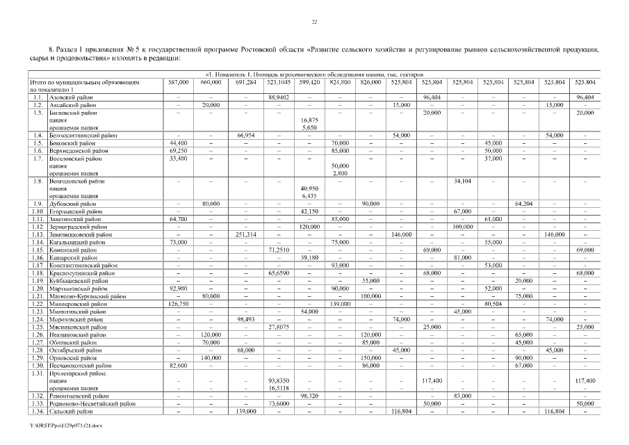
Постановление Правительства Ростовской области от 29.11.2021 № 973
"О внесении изменений в постановление Правительства Ростовской области от 17.10.2018 № 652"
Номер опубликования: 6100202112020006
Дата опубликования: 02.12.2021
Страница №22 из 32:
Увеличить