Официальное опубликование правовых актов
ОФИЦИАЛЬНОЕ ОПУБЛИКОВАНИЕ
Постановление Правительства Ростовской области от 22.11.2021 № 961
"О внесении изменений в постановление Правительства Ростовской области от 30.12.2020 № 465"
Номер опубликования: 6100202111240010
Дата опубликования: 24.11.2021
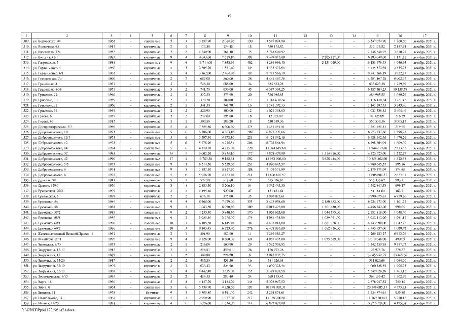
Страница №19 из 297:
Увеличить