Официальное опубликование правовых актов
ОФИЦИАЛЬНОЕ ОПУБЛИКОВАНИЕ
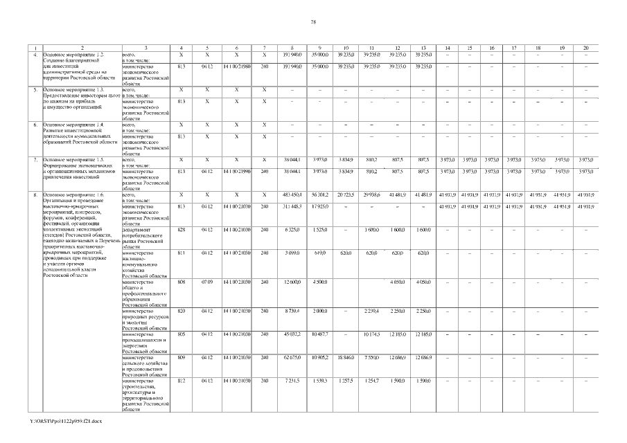
Постановление Правительства Ростовской области от 22.11.2021 № 959
"О внесении изменений в постановление Правительства Ростовской области от 15.10.2018 № 637"
Номер опубликования: 6100202111240008
Дата опубликования: 24.11.2021
Страница №28 из 41:
Увеличить