Официальное опубликование правовых актов
ОФИЦИАЛЬНОЕ ОПУБЛИКОВАНИЕ
Постановление Правительства Ростовской области от 01.11.2021 № 902
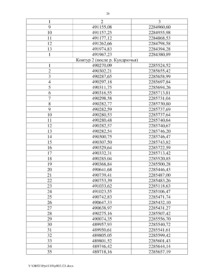
"Об утверждении проекта планировки и проекта межевания территории размещения линейного объекта "Газопровод межпоселковый к х. Голубинка с отводом на х. Казьминка Белокалитвинского района Ростовской области"
Номер опубликования: 6100202111030016
Дата опубликования: 03.11.2021
Страница №26 из 40:
Увеличить