Официальное опубликование правовых актов
ОФИЦИАЛЬНОЕ ОПУБЛИКОВАНИЕ
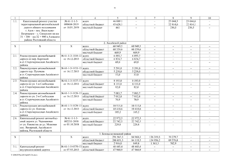
Постановление Правительства Ростовской области от 18.10.2021 № 865
"О внесении изменений в постановление Правительства Ростовской области от 17.10.2018 № 645"
Номер опубликования: 6100202110200012
Дата опубликования: 20.10.2021
Страница №91 из 136:
Увеличить