Официальное опубликование правовых актов
ОФИЦИАЛЬНОЕ ОПУБЛИКОВАНИЕ
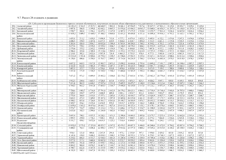
Постановление Правительства Ростовской области от 11.10.2021 № 835
"О внесении изменений в постановление Правительства Ростовской области от 17.10.2018 № 646"
Номер опубликования: 6100202110130017
Дата опубликования: 13.10.2021
Страница №35 из 42:
Увеличить