Официальное опубликование правовых актов
ОФИЦИАЛЬНОЕ ОПУБЛИКОВАНИЕ
Постановление Правительства Ростовской области от 13.09.2021 № 752
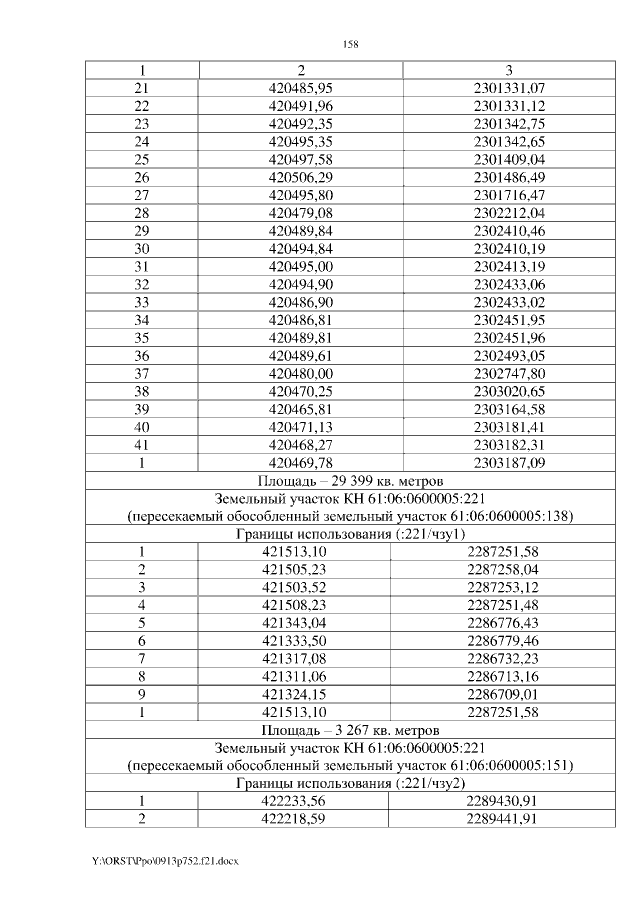
"Об утверждении проекта планировки и проекта межевания территории размещения линейного объекта "Газопровод межпоселковый от х. Нижнесоленый к х. Малая Балабинка, х. Цугейкин, п. Садковский Веселовского района с отводами на х. Старокузнецовский, х. Лиманский Семикаракорского района Ростовской области"
Номер опубликования: 6100202109160002
Дата опубликования: 16.09.2021
Страница №158 из 171:
Увеличить