Официальное опубликование правовых актов
ОФИЦИАЛЬНОЕ ОПУБЛИКОВАНИЕ
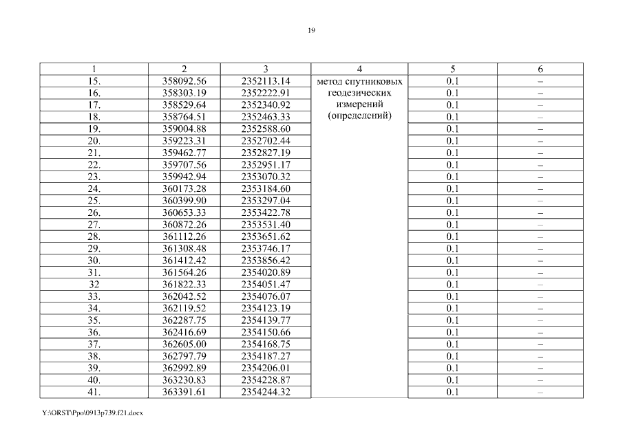
Постановление Правительства Ростовской области от 13.09.2021 № 739
"Об установлении публичного сервитута"
Номер опубликования: 6100202109150004
Дата опубликования: 15.09.2021
Страница №19 из 23:
Увеличить