Официальное опубликование правовых актов
ОФИЦИАЛЬНОЕ ОПУБЛИКОВАНИЕ
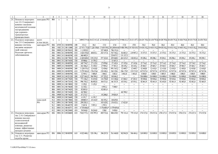
Постановление Правительства Ростовской области от 06.09.2021 № 717
"О внесении изменений в постановление Правительства Ростовской области от 17.10.2018 № 654"
Номер опубликования: 6100202109080020
Дата опубликования: 08.09.2021
Страница №21 из 77:
Увеличить