Официальное опубликование правовых актов
ОФИЦИАЛЬНОЕ ОПУБЛИКОВАНИЕ
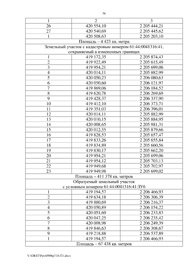
Постановление Правительства Ростовской области от 06.09.2021 № 718
"Об утверждении проекта изменений в проект планировки и проект межевания территории для размещения объектов регионального значения, включая стадион на 45 тыс. зрителей, в левобережной зоне г. Ростова-на-Дону"
Номер опубликования: 6100202109080015
Дата опубликования: 08.09.2021
Страница №56 из 59:
Увеличить