Официальное опубликование правовых актов
ОФИЦИАЛЬНОЕ ОПУБЛИКОВАНИЕ
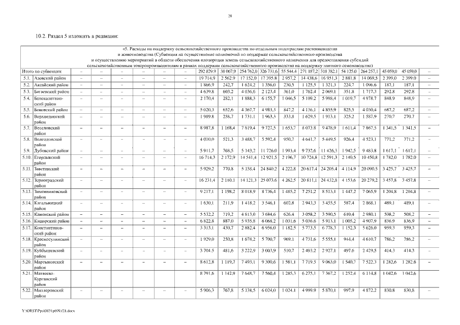
Постановление Правительства Ростовской области от 31.08.2021 № 699
"О внесении изменений в постановление Правительства Ростовской области от 17.10.2018 № 652"
Номер опубликования: 6100202109020009
Дата опубликования: 02.09.2021
Страница №28 из 32:
Увеличить