Официальное опубликование правовых актов
ОФИЦИАЛЬНОЕ ОПУБЛИКОВАНИЕ
Постановление Правительства Ростовской области от 31.08.2021 № 678
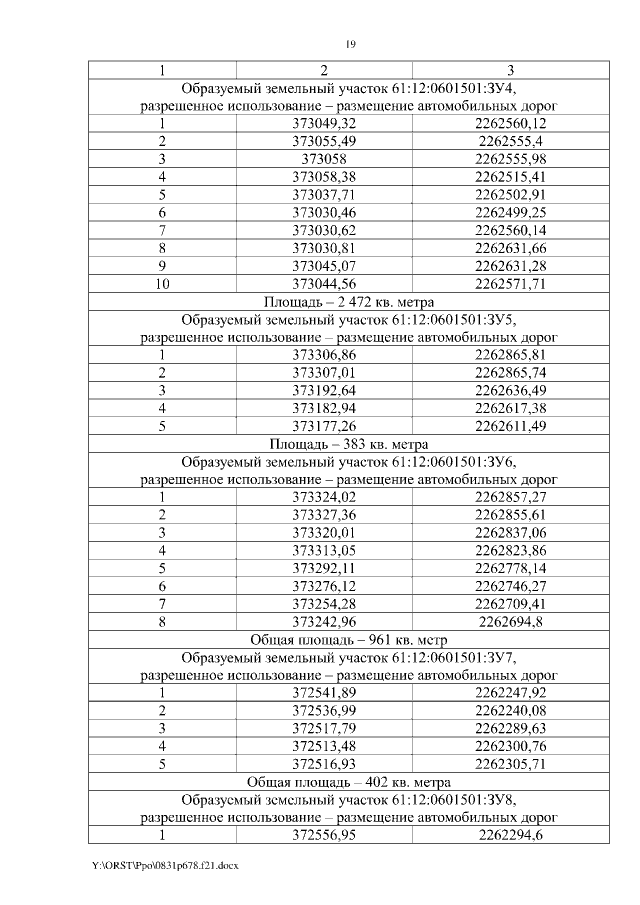
"Об утверждении проекта планировки и проекта межевания территории размещения линейного объекта "Строительство путепровода через железную дорогу на км 5 + 100 автомобильной дороги общего пользования межмуниципального значения ст. Мечетинская – х. Большая Таловая – пос. Веселый (до а/д "х. Усьман – пос. Веселый – г. Сальск")"
Номер опубликования: 6100202109010004
Дата опубликования: 01.09.2021
Страница №19 из 28:
Увеличить