Официальное опубликование правовых актов
ОФИЦИАЛЬНОЕ ОПУБЛИКОВАНИЕ
Постановление Правительства Ростовской области от 25.08.2021 № 670
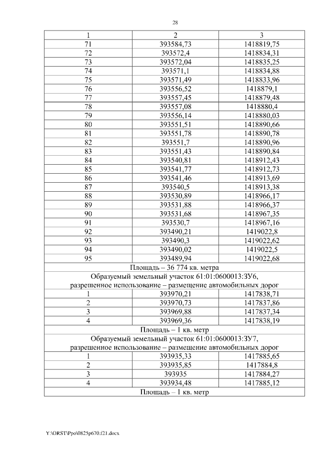
"Об утверждении проекта планировки и проекта межевания территории размещения линейного объекта "Строительство путепровода через железную дорогу на км 20 + 870 автомобильной дороги общего пользования межмуниципального значения г. Азов – пос. Васильево-Петровское – с. Самарское в Азовском районе"
Номер опубликования: 6100202108260011
Дата опубликования: 26.08.2021
Страница №28 из 54:
Увеличить