Официальное опубликование правовых актов
ОФИЦИАЛЬНОЕ ОПУБЛИКОВАНИЕ
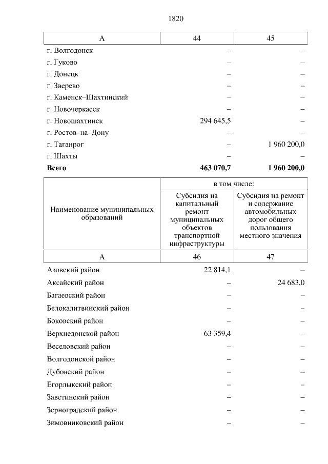
Областной закон Ростовской области от 29.07.2021 № 499-ЗС
"О внесении изменений в Областной закон "Об областном бюджете на 2021 год и на плановый период 2022 и 2023 годов"
Номер опубликования: 6100202107300001
Дата опубликования: 30.07.2021
Страница №1820 из 1962:
Увеличить