Официальное опубликование правовых актов
ОФИЦИАЛЬНОЕ ОПУБЛИКОВАНИЕ
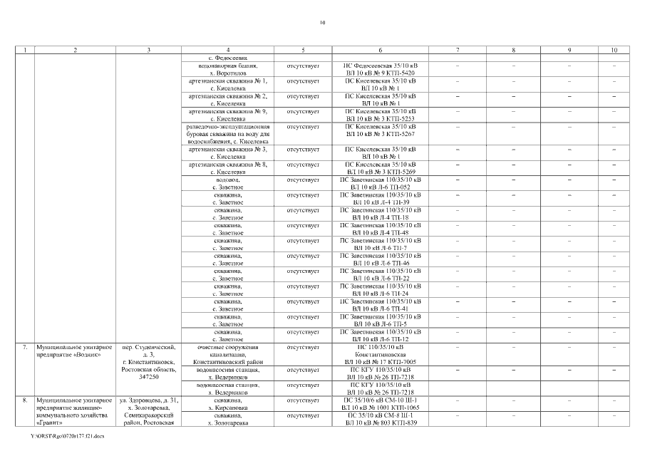
Распоряжение Губернатора Ростовской области от 20.07.2021 № 177
"Об утверждении Перечня потребителей электрической энергии (мощности) Ростовской области, ограничение режима потребления электрической энергии которых может привести к экономическим, экологическим, социальным последствиям"
Номер опубликования: 6100202107210011
Дата опубликования: 21.07.2021
Страница №10 из 119:
Увеличить