Официальное опубликование правовых актов
ОФИЦИАЛЬНОЕ ОПУБЛИКОВАНИЕ
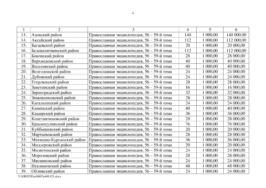
Постановление Правительства Ростовской области от 07.06.2021 № 448
"О передаче имущества из государственной собственности Ростовской области в муниципальную собственность"
Номер опубликования: 6100202106090003
Дата опубликования: 09.06.2021
Страница №4 из 5:
Увеличить