Официальное опубликование правовых актов
ОФИЦИАЛЬНОЕ ОПУБЛИКОВАНИЕ
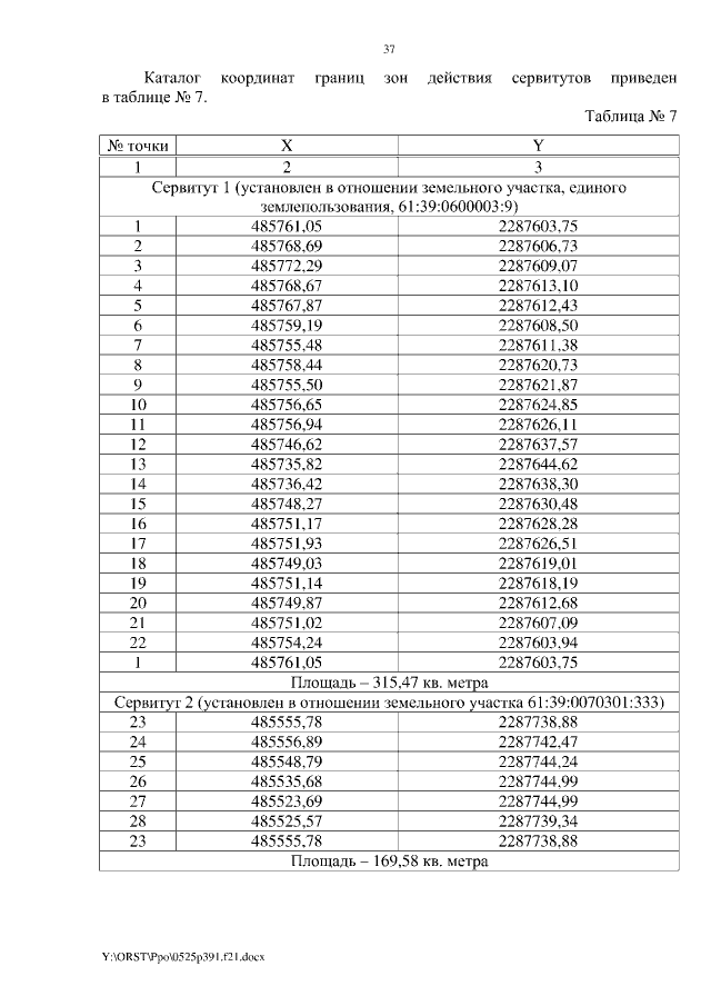
Постановление Правительства Ростовской области от 25.05.2021 № 391
"Об утверждении проекта планировки и проекта межевания территории размещения линейного объекта "Реконструкция мостового перехода на км 30 + 150 автомобильной дороги общего пользования межмуниципального значения пос. Усть-Донецкий – х. Евсеевский – х. Голубинка – до а/д "г. Шахты – г. Белая Калитва" в Усть-Донецком районе (корректировка)"
Номер опубликования: 6100202105260010
Дата опубликования: 26.05.2021
Страница №37 из 38:
Увеличить