Официальное опубликование правовых актов
ОФИЦИАЛЬНОЕ ОПУБЛИКОВАНИЕ
Постановление Правительства Ростовской области от 11.05.2021 № 372
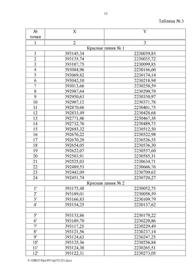
"Об утверждении проекта изменений в проект планировки и проект межевания территории размещения автомобильной дороги общего пользования регионального значения г. Ростов-на-Дону (от магистрали "Дон") – г. Ставрополь (до границы Ставропольского края) на участке км 26 + 600 – 27 + 400 в Кагальницком районе"
Номер опубликования: 6100202105130027
Дата опубликования: 13.05.2021
Страница №13 из 33:
Увеличить