Официальное опубликование правовых актов
ОФИЦИАЛЬНОЕ ОПУБЛИКОВАНИЕ
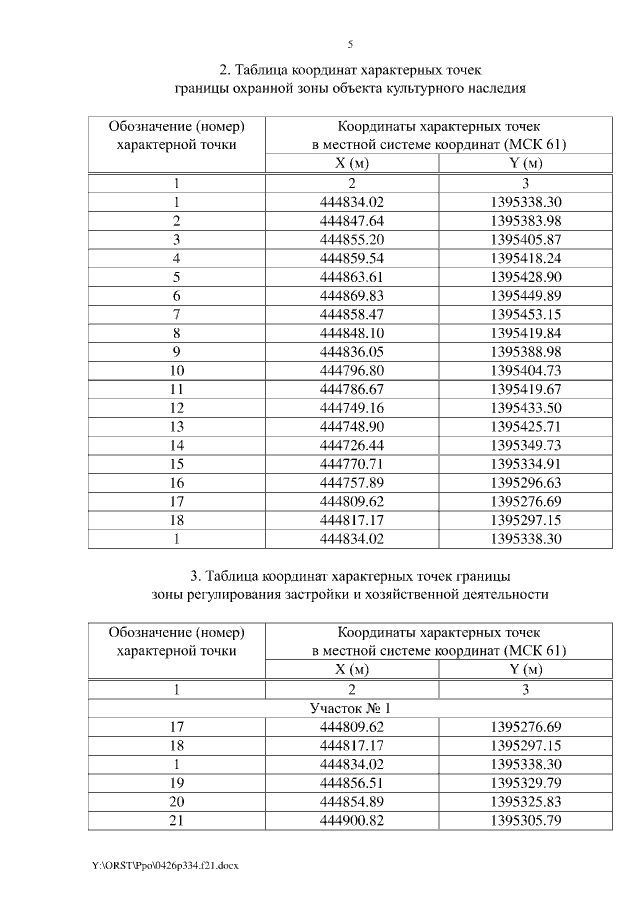
Постановление Правительства Ростовской области от 26.04.2021 № 334
"Об установлении зон охраны объекта культурного наследия федерального значения "Усадьба, где жил художник Мартирос Сарьян" и утверждении требований к градостроительным регламентам в границах территорий данных зон"
Номер опубликования: 6100202104270003
Дата опубликования: 27.04.2021
Страница №5 из 11:
Увеличить