Официальное опубликование правовых актов
ОФИЦИАЛЬНОЕ ОПУБЛИКОВАНИЕ
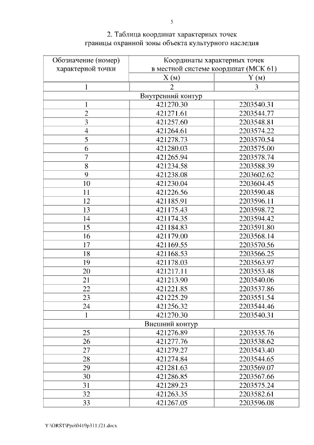
Постановление Правительства Ростовской области от 19.04.2021 № 311
"Об установлении зон охраны объекта культурного наследия регионального значения "Подземный пешеходный переход с тематическими мозаичными панно, на пересечении пр. Буденновского и ул. Московской" и утверждении требований к градостроительным регламентам в границах территорий данных зон"
Номер опубликования: 6100202104220020
Дата опубликования: 22.04.2021
Страница №5 из 9:
Увеличить