Официальное опубликование правовых актов
ОФИЦИАЛЬНОЕ ОПУБЛИКОВАНИЕ
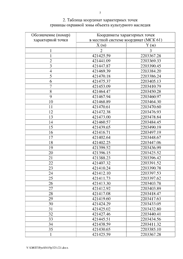
Постановление Правительства Ростовской области от 19.04.2021 № 325
"Об установлении зон охраны объекта культурного наследия регионального значения "Доходный дом М.Ф. Кофус" и утверждении требований к градостроительным регламентам в границах территорий данных зон"
Номер опубликования: 6100202104220006
Дата опубликования: 22.04.2021
Страница №5 из 11:
Увеличить