Официальное опубликование правовых актов
ОФИЦИАЛЬНОЕ ОПУБЛИКОВАНИЕ
Распоряжение Губернатора Ростовской области от 12.04.2021 № 92
"О внесении изменений в распоряжение Губернатора Ростовской области от 25.04.2018 № 100"
Номер опубликования: 6100202104140011
Дата опубликования: 14.04.2021
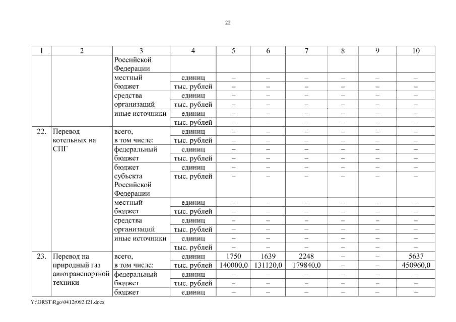
Страница №22 из 92:
Увеличить