Официальное опубликование правовых актов
ОФИЦИАЛЬНОЕ ОПУБЛИКОВАНИЕ
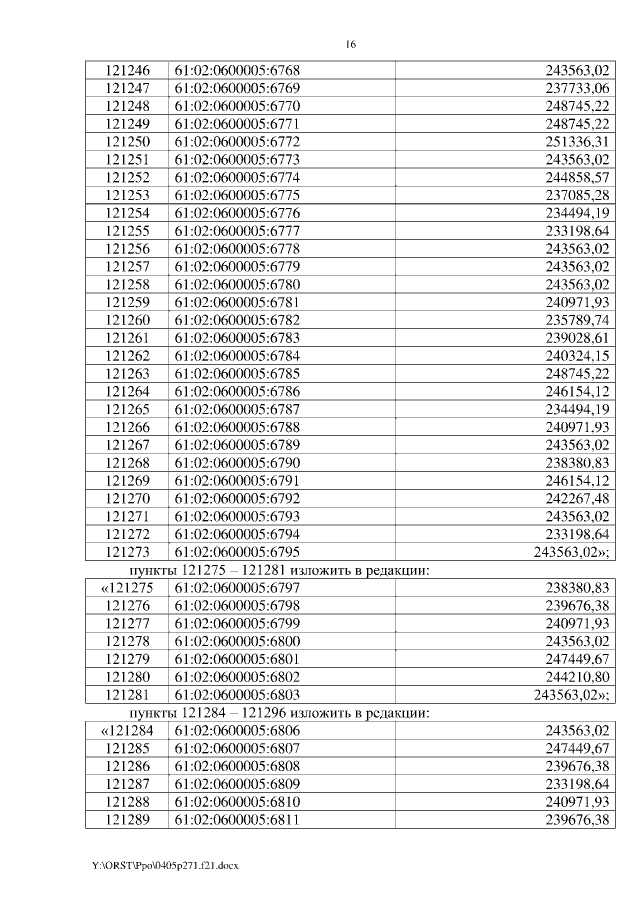
Постановление Правительства Ростовской области от 05.04.2021 № 271
"О внесении изменений в постановление Правительства Ростовской области от 27.12.2016 № 881"
Номер опубликования: 6100202104070006
Дата опубликования: 07.04.2021
Страница №16 из 29:
Увеличить