Официальное опубликование правовых актов
ОФИЦИАЛЬНОЕ ОПУБЛИКОВАНИЕ
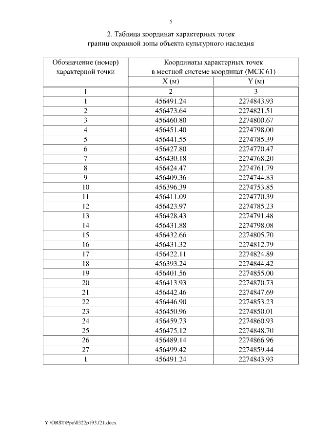
Постановление Правительства Ростовской области от 22.03.2021 № 193
"Об установлении зон охраны объекта культурного наследия регионального значения "Здание почтовой станции" и утверждении требований к градостроительным регламентам в границах территорий данных зон"
Номер опубликования: 6100202103240001
Дата опубликования: 24.03.2021
Страница №5 из 10:
Увеличить