Официальное опубликование правовых актов
ОФИЦИАЛЬНОЕ ОПУБЛИКОВАНИЕ
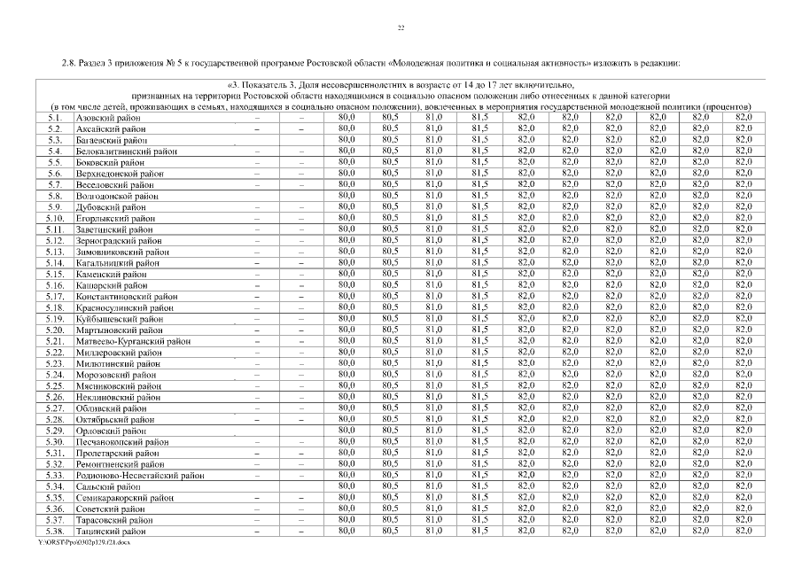
Постановление Правительства Ростовской области от 02.03.2021 № 129
"О внесении изменений в постановление Правительства Ростовской области от 19.10.2020 № 100"
Номер опубликования: 6100202103040028
Дата опубликования: 04.03.2021
Страница №22 из 31:
Увеличить