Официальное опубликование правовых актов
ОФИЦИАЛЬНОЕ ОПУБЛИКОВАНИЕ
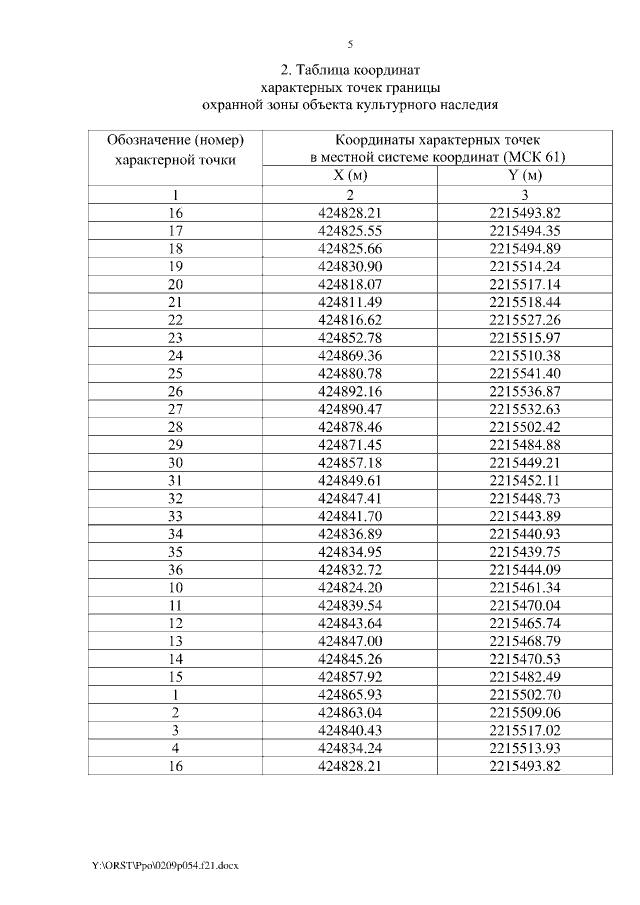
Постановление Правительства Ростовской области от 09.02.2021 № 54
"Об установлении зон охраны объекта культурного наследия регионального значения "Одигитриевская церковь" и утверждении требований к градостроительным регламентам в границах территорий данных зон"
Номер опубликования: 6100202102100023
Дата опубликования: 10.02.2021
Страница №5 из 11:
Увеличить