Официальное опубликование правовых актов
ОФИЦИАЛЬНОЕ ОПУБЛИКОВАНИЕ
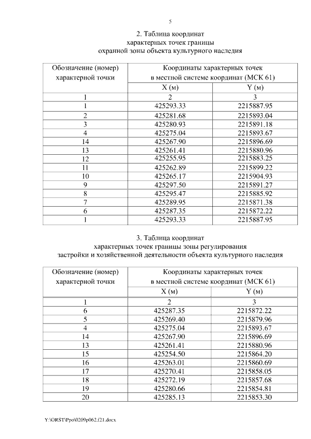
Постановление Правительства Ростовской области от 09.02.2021 № 62
"Об установлении зон охраны объекта культурного наследия регионального значения "Дом зажиточного казака" и утверждении требований к градостроительным регламентам в границах территорий данных зон"
Номер опубликования: 6100202102100015
Дата опубликования: 10.02.2021
Страница №5 из 10:
Увеличить