Официальное опубликование правовых актов
ОФИЦИАЛЬНОЕ ОПУБЛИКОВАНИЕ
Постановление Правительства Ростовской области от 09.02.2021 № 52
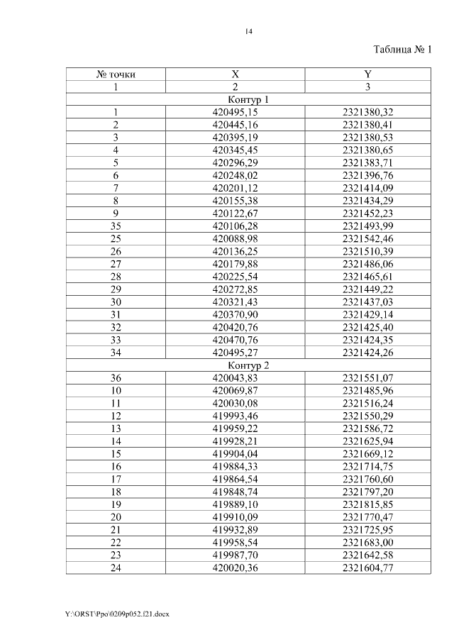
"Об утверждении проекта планировки и проекта межевания территории размещения линейного объекта "Реконструкция мостового перехода на км 74 + 137 автомобильной дороги общего пользования регионального значения г. Пролетарск – х. Сухой – сл. Большая Орловка в Мартыновском районе"
Номер опубликования: 6100202102100013
Дата опубликования: 10.02.2021
Страница №14 из 20:
Увеличить