Официальное опубликование правовых актов
ОФИЦИАЛЬНОЕ ОПУБЛИКОВАНИЕ
Постановление Правительства Ростовской области от 03.02.2021 № 46
"О внесении изменения в постановление Правительства Ростовской области от 12.08.2016 № 569"
Номер опубликования: 6100202102050001
Дата опубликования: 05.02.2021
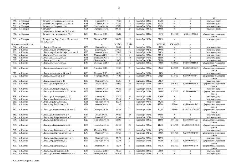
Страница №48 из 69:
Увеличить