Официальное опубликование правовых актов
ОФИЦИАЛЬНОЕ ОПУБЛИКОВАНИЕ
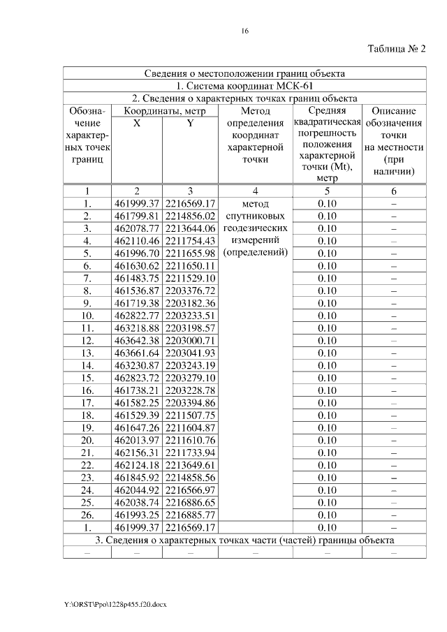
Постановление Правительства Ростовской области от 28.12.2020 № 455
"Об установлении публичного сервитута"
Номер опубликования: 6100202012300026
Дата опубликования: 30.12.2020
Страница №16 из 17:
Увеличить