Официальное опубликование правовых актов
ОФИЦИАЛЬНОЕ ОПУБЛИКОВАНИЕ
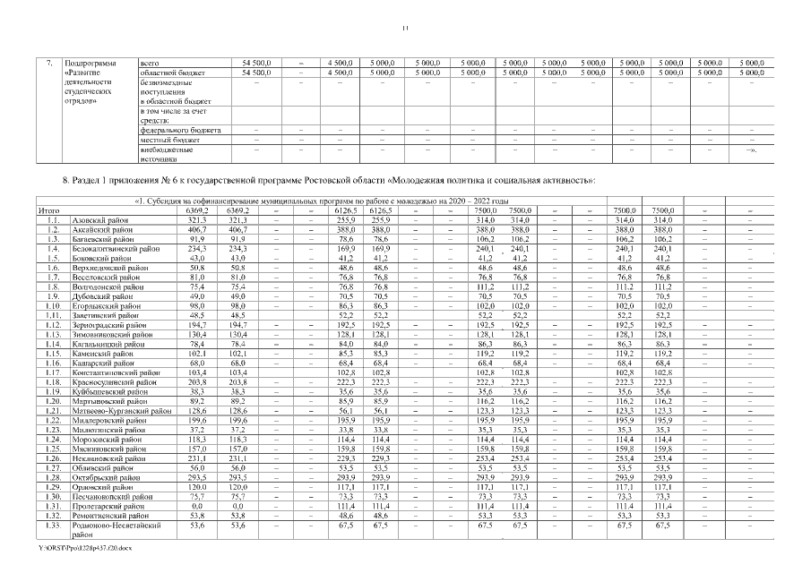
Постановление Правительства Ростовской области от 28.12.2020 № 437
"О внесении изменений в постановление Правительства Ростовской области от 15.10.2018 № 636"
Номер опубликования: 6100202012300014
Дата опубликования: 30.12.2020
Страница №11 из 14:
Увеличить