Официальное опубликование правовых актов
ОФИЦИАЛЬНОЕ ОПУБЛИКОВАНИЕ
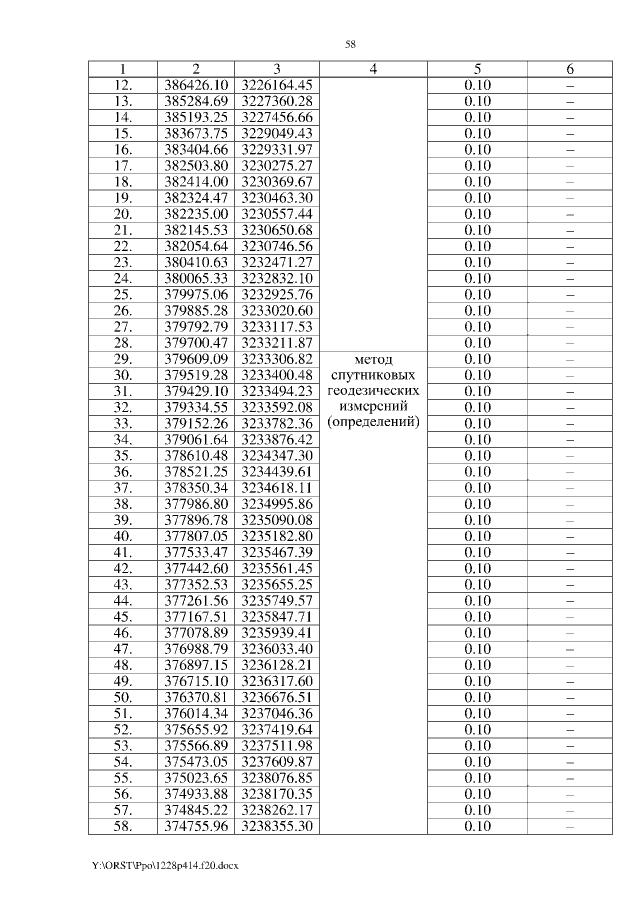
Постановление Правительства Ростовской области от 28.12.2020 № 414
"Об установлении публичного сервитута"
Номер опубликования: 6100202012290028
Дата опубликования: 29.12.2020
Страница №58 из 65:
Увеличить