Официальное опубликование правовых актов
ОФИЦИАЛЬНОЕ ОПУБЛИКОВАНИЕ
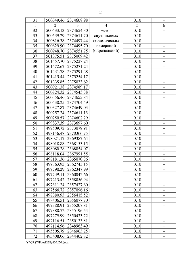
Постановление Правительства Ростовской области от 28.12.2020 № 409
"Об установлении публичного сервитута"
Номер опубликования: 6100202012290027
Дата опубликования: 29.12.2020
Страница №30 из 31:
Увеличить