Официальное опубликование правовых актов
ОФИЦИАЛЬНОЕ ОПУБЛИКОВАНИЕ
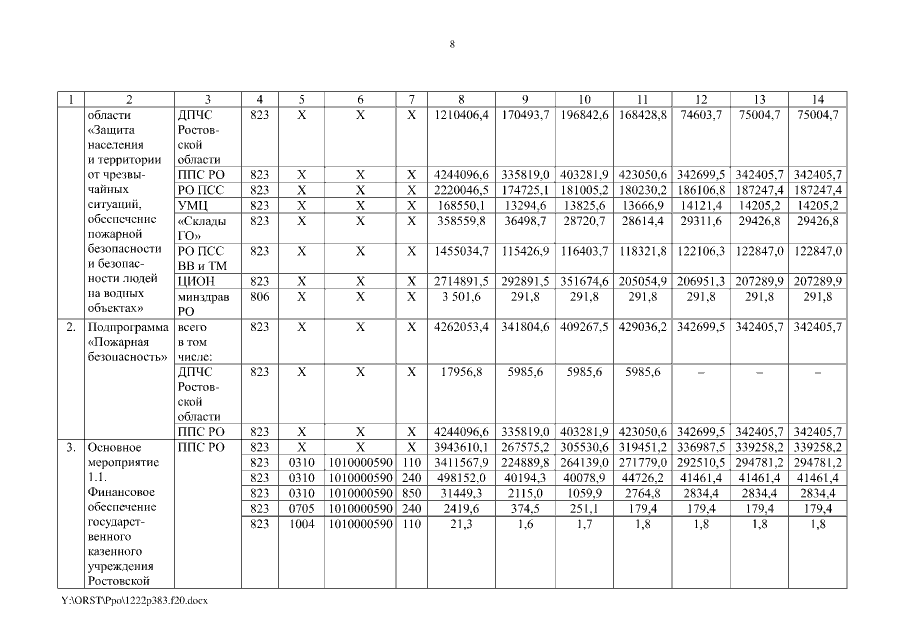
Постановление Правительства Ростовской области от 22.12.2020 № 383
"О внесении изменений в постановление Правительства Ростовской области от 17.10.2018 № 647"
Номер опубликования: 6100202012240011
Дата опубликования: 24.12.2020
Страница №8 из 37:
Увеличить