Официальное опубликование правовых актов
ОФИЦИАЛЬНОЕ ОПУБЛИКОВАНИЕ
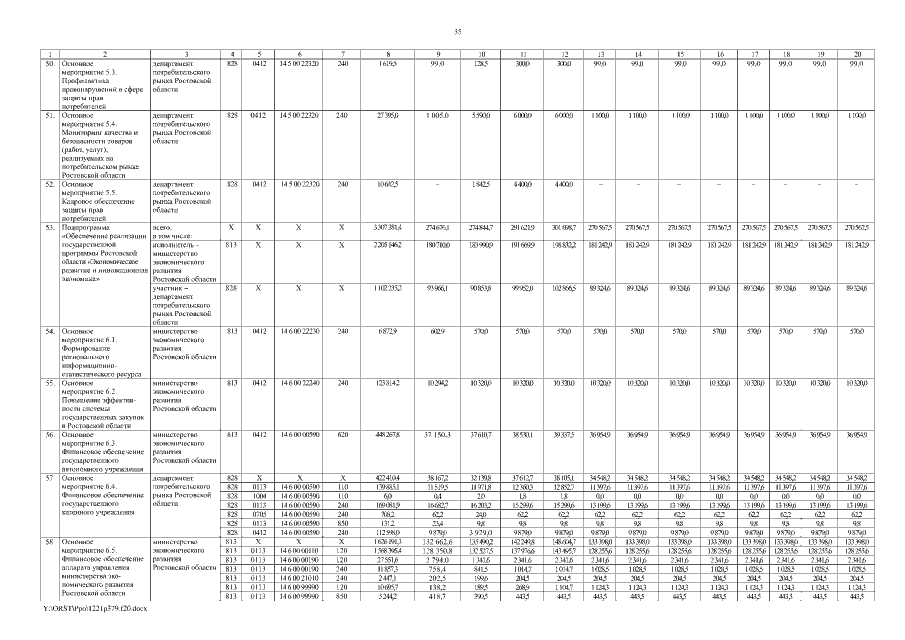
Постановление Правительства Ростовской области от 21.12.2020 № 379
"О внесении изменений в постановление Правительства Ростовской области от 15.10.2018 № 637"
Номер опубликования: 6100202012240005
Дата опубликования: 24.12.2020
Страница №35 из 38:
Увеличить